Skip to main content
Parc Residences @ Tengah
Completed
Parc Residences @ Tengah HDB Sales Launch August 2020
Artist impression
Parc Residences @ Tengah Site Plan & Block Summary
Site plan
2-ROOM FLEXI (TYPE 1) FLOOR PLAN
Floor plan
Tengah Master Plan and Connectivity Map
Location map
Parc Residences @ Tengah HDB Sales Launch August 2020
Artist impression

Parc Residences @ Tengah

Tengah Garden District

Project Details

No of Blocks
7
Highest Floor
14
Tenure
99-year
Developer
Launch Date
Aug 2020
Expected TOP
To be announced
Total Units
1,140
BTO Type
standard

Site Plan

Detailed layout and block arrangement

Parc Residences @ Tengah Site Plan
Click to zoom

Floor Plans

Browse floor plans by unit type and block

2-ROOM FLEXI (TYPE 1) FLOOR PLAN

2-ROOM FLEXI (TYPE 1) FLOOR PLAN

2-room Flexi
2-Room Flexi (Type 2) Floor Plan & Suggested Layout

2-Room Flexi (Type 2) Floor Plan & Suggested Layout

2-room Flexi (type 2)
HDB 3-Room Floor Plan with Flexible Kitchen Options

HDB 3-Room Floor Plan with Flexible Kitchen Options

3-room
4-Room and 5-Room Floor Plans

4-Room and 5-Room Floor Plans

4-room 5-room
Block 300A & 300B Unit Stacking Plan

Block 300A & 300B Unit Stacking Plan

2-room Flexi (type 1) 2-room Flexi (type 2) 3-room Shop Shop/restaurant

Blocks: 300A, 300B

Block 300C & 300D Unit Type Stacking Charts

Block 300C & 300D Unit Type Stacking Charts

2-room Flexi 3-room 4-room 5-room

Blocks: 300C, 300D

Block 301A & 301B Unit Stacking Chart

Block 301A & 301B Unit Stacking Chart

4-room 5-room

Blocks: 301A, 301B

Block 301C & 301D Unit Stacking Chart

Block 301C & 301D Unit Stacking Chart

2-room Flexi (type 1) 2-room Flexi (type 2) 3-room

Blocks: 301C, 301D

Block 302A & 302B Stacking Plan

Block 302A & 302B Stacking Plan

2-room Flexi 3-room 4-room 5-room

Blocks: 302A, 302B

Block 302C & 302D Unit Stacking Chart

Block 302C & 302D Unit Stacking Chart

2-room Flexi Type 1 2-room Flexi Type 2 3-room 4-room 5-room

Blocks: 302C, 302D

Block 300A 2nd Storey Floor Plan

Block 300A 2nd Storey Floor Plan

2-room Flexi

Blocks: 300A

Block 300A (3rd-7th & 10th-14th Storey Floor Plan)

Block 300A (3rd-7th & 10th-14th Storey Floor Plan)

2-room Flexi 3-room

Blocks: 300A

Block 300A 8th Storey Floor Plan

Block 300A 8th Storey Floor Plan

2-room Flexi

Blocks: 300A

Block 300A (9th Storey Floor Plan)

Block 300A (9th Storey Floor Plan)

2-room Flexi 3-room

Blocks: 300A

Block 300B 2nd Storey Floor Plan

Block 300B 2nd Storey Floor Plan

2-room Flexi

Blocks: 300B

Block 300B (3rd-7th & 10th-14th Storey Floor Plan)

Block 300B (3rd-7th & 10th-14th Storey Floor Plan)

2-room Flexi 3-room

Blocks: 300B

Block 300B 8th Storey Floor Plan

Block 300B 8th Storey Floor Plan

2-room Flexi

Blocks: 300B

Block 300B, 9th Storey Floor Plan

Block 300B, 9th Storey Floor Plan

2-room Flexi 3-room

Blocks: 300B

Block 300C 2nd Storey Floor Plan

Block 300C 2nd Storey Floor Plan

4-room 5-room

Blocks: 300C

Block 300C Floor Plan (Selected Storeys)

Block 300C Floor Plan (Selected Storeys)

3-room 4-room 5-room

Blocks: 300C

Block 300C 8th Storey Floor Plan

Block 300C 8th Storey Floor Plan

4-room 5-room

Blocks: 300C

Block 300C - 9th Storey Floor Plan

Block 300C - 9th Storey Floor Plan

3-room 4-room 5-room

Blocks: 300C

Block 300D - 2nd Storey Floor Plan

Block 300D - 2nd Storey Floor Plan

2-room Flexi

Blocks: 300D

Block 300D Floor Plan (3rd to 7th Storey)

Block 300D Floor Plan (3rd to 7th Storey)

2-room 3-room

Blocks: 300D

Block 300D 8th Storey Floor Plan with 2-Room Flexi Units

Block 300D 8th Storey Floor Plan with 2-Room Flexi Units

2-room Flexi

Blocks: 300D

Block 300D (9th to 12th Storey Floor Plan)

Block 300D (9th to 12th Storey Floor Plan)

2-room Flexi 3-room

Blocks: 300D

Block 301A 2nd Storey Floor Plan

Block 301A 2nd Storey Floor Plan

4-room 5-room

Blocks: 301A

Block 301A Floor Plan (3rd to 7th & 10th to 14th Storey)

Block 301A Floor Plan (3rd to 7th & 10th to 14th Storey)

4-room 5-room

Blocks: 301A

Block 301A 8th Storey Floor Plan

Block 301A 8th Storey Floor Plan

4-room 5-room

Blocks: 301A

Block 301A (9th Storey Floor Plan)

Block 301A (9th Storey Floor Plan)

4-room 5-room

Blocks: 301A

Block 301B - 2nd Storey Floor Plan

Block 301B - 2nd Storey Floor Plan

4-room 5-room

Blocks: 301B

Block 301B Typical Floor Plan (3rd-7th & 10th-14th Storeys)

Block 301B Typical Floor Plan (3rd-7th & 10th-14th Storeys)

4-room 5-room

Blocks: 301B

Block 301B (8th Storey Floor Plan)

Block 301B (8th Storey Floor Plan)

4-room 5-room

Blocks: 301B

Block 301B - 9th Storey Floor Plan

Block 301B - 9th Storey Floor Plan

4-room 5-room

Blocks: 301B

Block 301C - 2nd Storey Floor Plan

Block 301C - 2nd Storey Floor Plan

2-room Flexi

Blocks: 301C

Block 301C Floor Plan (3rd-7th & 10th-14th Storey)

Block 301C Floor Plan (3rd-7th & 10th-14th Storey)

2-room Flexi 3-room

Blocks: 301C

Block 301C - 8th Storey Floor Plan

Block 301C - 8th Storey Floor Plan

2-room Flexi

Blocks: 301C

Block 301C - 9th Storey Floor Plan

Block 301C - 9th Storey Floor Plan

2-room Flexi 3-room

Blocks: 301C

Block 301D: 2nd Storey Floor Plan (2-Room Flexi)

Block 301D: 2nd Storey Floor Plan (2-Room Flexi)

2-room Flexi (type 2)

Blocks: 301D

Block 301D Floor Plan (3rd-7th & 10th-14th Storeys)

Block 301D Floor Plan (3rd-7th & 10th-14th Storeys)

2-room Flexi 3-room

Blocks: 301D

Block 301D 8th Storey Floor Plan

Block 301D 8th Storey Floor Plan

2-room Flexi (type 2)

Blocks: 301D

Block 301D 9th Storey Floor Plan

Block 301D 9th Storey Floor Plan

2-room Flexi (type 2) 3-room

Blocks: 301D

Block 302A Floor Plan (2nd to 7th & 10th to 14th Storey)

Block 302A Floor Plan (2nd to 7th & 10th to 14th Storey)

5-room 4-room 2-room Flexi

Blocks: 302A

Block 302A 8th Storey Floor Plan

Block 302A 8th Storey Floor Plan

5-room 4-room 2-room Flexi

Blocks: 302A

Block 302A (9th Storey Floor Plan)

Block 302A (9th Storey Floor Plan)

5-room 4-room 2-room Flexi

Blocks: 302A

Block 302B Typical Floor Plan (2nd-14th Storey)

Block 302B Typical Floor Plan (2nd-14th Storey)

3-room 4-room 5-room

Blocks: 302B

Block 302B (8th Storey Floor Plan)

Block 302B (8th Storey Floor Plan)

3-room 4-room 5-room

Blocks: 302B

Block 302B (9th Storey) Floor Plan with Unit Layouts

Block 302B (9th Storey) Floor Plan with Unit Layouts

3-room 4-room 5-room

Blocks: 302B

Block 302C (2nd-7th Storey) Floor Plan

Block 302C (2nd-7th Storey) Floor Plan

2-room Flexi 3-room

Blocks: 302C

Block 302C (8th Storey Floor Plan)

Block 302C (8th Storey Floor Plan)

2-room Flexi (type 1)

Blocks: 302C

Block 302C Floor Plan (9th-12th Storey)

Block 302C Floor Plan (9th-12th Storey)

2-room Flexi 3-room

Blocks: 302C

Block 302D Typical Floor Plan (2nd-7th & 10th-14th Storey)

Block 302D Typical Floor Plan (2nd-7th & 10th-14th Storey)

3-room 4-room 5-room

Blocks: 302D

Block 302D 8th Storey Floor Plan

Block 302D 8th Storey Floor Plan

4-room 5-room

Blocks: 302D

Block 302D (9th Storey Floor Plan)

Block 302D (9th Storey Floor Plan)

3-room 4-room 5-room

Blocks: 302D

Quick Info

Town
Tengah
Tenure
99-year

Project Brochure

70 pages

Page 1 / 70
Brochure Page 1

Table of Contents

1

Parc Residences @ Tengah HDB Sales Launch August 2020

This image displays an artist's impression of Parc Residences @ Tengah, showcasing a modern HDB development with multiple residential blocks, green landscapes, and common areas. It announces the HDB Sales Launch in August 2020 and features a cheerful couple in the foreground, seemingly admiring the new estate, accompanied by social media 'like' icons, suggesting desirability.

2

Parc Residences @ Tengah: Artist Impression

This image presents an artist's impression of Parc Residences @ Tengah, showcasing a public housing development integrated with nature. It features residential blocks with unique curved rooflines, nestled amidst lush greenery, a central park, and community spaces. The text details the project's location in Tengah, its 1,044 units (2- to 5-room flats), and its focus on green living with roof gardens, walking/cycling paths, and proximity to upcoming MRT stations, emphasizing a 'Homes Within A Park' concept.

3

Tengah Park District Green Living & Amenities Overview

This page features multiple artist's impressions showcasing the lush, green, and car-lite environment of Tengah's Park District, emphasizing recreational spaces and integrated greenery. Descriptive text highlights the district's amenities, including the first car-free HDB town centre, and details public facilities within Parc Residences @ Tengah like a polyclinic, supermarket, and childcare centre.

4

A Green Haven

This page describes Tengah town as a 'Green Haven', highlighting its nature-centric design guided by HDB's Biophilic Town Framework and Active, Beautiful, and Clean Waters strategy. It aims to enhance environmental health and residents' well-being through lush greenery and varied landscapes. Two artist impressions showcase a park district with residential buildings and the Tengah Town Centre, featuring a market place and an elevated train track.

5

Tengah Town Features: Green, Smart & Car-lite Centre

This page describes Tengah, the first HDB town integrating with surrounding greenery via a 5km Forest Corridor and Forest Fringe. It will feature a car-free town centre (shown in the artist's impression), dedicated walking/cycling paths, and public transport (Jurong Region Line). Tengah will also be a smart town, incorporating autonomous vehicles for first-mile-last-mile connections, and vibrant commercial facilities. The large image provides a visual concept of the 'Car-lite Town Centre'.

6

Important Notes on HDB Precincts and Facilities

This page provides important notes regarding HDB precinct planning, detailing the types of amenities and facilities catered for within the development, such as childcare, elderly facilities, education, and commercial spaces. It clarifies that these spaces could be located in various areas like void decks, car parks, or stand-alone buildings. The text also emphasizes that the information provided in the brochure, including surrounding land use and proposed facilities, is indicative only and subject to review by relevant government agencies.

7

Tengah Master Plan and Connectivity Map

This location map details the master plan for the Tengah area, highlighting proposed and existing MRT lines (JRL-u/c), major expressways, roads, and various proposed facilities such as parks, civic institutions, and schools. It provides an overview of the future urban landscape and connectivity.

8

Parc Residences @ Tengah Eco-Friendly & Smart Features

This brochure page highlights the sustainable and smart living features at Parc Residences @ Tengah. It details eco-friendly initiatives such as separate recycling chutes, regenerative lifts, and bicycle stands, alongside smart solutions including smart-enabled homes and lighting. The page also introduces Singapore's first centralised cooling system for public housing, outlining its benefits like energy efficiency and cost savings for residents, with instructions for subscription.

9

Lush Residences Flat Specifications

This brochure page details the specifications for Lush Residences, built using PPVC. It outlines the finishes provided for 2-room Flexi, 3-, 4-, and 5-room flats, including flooring, wall tiles, doors, and sanitary fittings. It also highlights kitchen design flexibility for 3-room flats and introduces the Optional Component Scheme (OCS) for elderly buyers of 2-room Flexi flats, offering customizable features at an added cost.

10

2-ROOM FLEXI (TYPE 1) FLOOR PLAN

This image displays a floor plan for a 2-room Flexi apartment, specifically Type 1, complete with a suggested furniture layout. It shows a bedroom, living/dining area, kitchen, bathroom/WC, and a household shelter. The approximate total floor area is 40 sqm, which includes an internal floor area of 38 sqm and an air-con ledge.

11

2-Room Flexi (Type 2) Floor Plan & Suggested Layout

This HDB BTO brochure page features two identical floor plans for a 2-Room Flexi (Type 2) unit. It includes a suggested furniture layout, detailing a bedroom, living/dining area, kitchen, bathroom, and household shelter. The unit boasts an approximate floor area of 48 sqm, with 46 sqm internal floor area. A text block explains the flexible space, allowing customization for dining, study, or an extra bed to meet diverse lifestyle needs.

12

HDB 3-Room Floor Plan with Flexible Kitchen Options

This HDB brochure page showcases a 3-room floor plan (approx. 70 sqm) with suggested furniture. It highlights the flexibility of an open kitchen concept, allowing for custom partitions. Three artist impressions visually demonstrate options to separate the utility from kitchen, dry from wet kitchens, or kitchen from living/dining area, catering to diverse lifestyles.

13

4-Room and 5-Room Floor Plans

This page displays two detailed floor plans: a 4-room and a 5-room unit. The 4-room plan features a main bedroom, two additional bedrooms, two bathrooms, a living/dining area, kitchen, service yard, and household shelter, with an approximate floor area of 95 sqm. The 5-room plan is similar but includes a suggested study area, with an approximate floor area of 113 sqm. Both include suggested furniture layouts for illustration.

14

Parc Residences @ Tengah Site Plan & Block Summary

This detailed site plan for Parc Residences @ Tengah illustrates the layout of residential blocks, various amenities, and surrounding infrastructure. It includes a legend identifying different room types, facilities like childcare centers, playgrounds, multi-storey car parks, and green spaces. A table provides a summary of block numbers, number of storeys, and the count of various unit types for each block, along with lift access information.

15

Block 300A & 300B Unit Stacking Plan

This page displays the unit stacking charts for HDB Blocks 300A and 300B. Each chart illustrates the distribution of different unit types—2-room Flexi (Type 1), 2-room Flexi (Type 2), and 3-room—across 14 residential floors (from #01 to #14) and various stack numbers. Block 300B also indicates commercial units, including shops and restaurants, on the first floor.

16

Block 300C & 300D Unit Type Stacking Charts

This page presents stacking charts for Block 300C and Block 300D, illustrating the distribution of different unit types across various floor levels and unit numbers. It details the availability of 2-room Flexi, 3-room, 4-room, and 5-room units. Additionally, the charts highlight shared amenities like the Education Centre, accessible Sky Terrace, and Roof Garden within the blocks.

17

Block 301A & 301B Unit Stacking Chart

This page displays the unit stacking charts for HDB Blocks 301A and 301B. It illustrates the distribution of 4-room (yellow) and 5-room (green) units across various stack numbers and floor levels (#01 to #14). The charts allow prospective buyers to identify the type of unit available for specific stacks within each block.

18

Block 301C & 301D Unit Stacking Chart

This page displays the unit stacking charts for HDB Blocks 301C and 301D. It illustrates the distribution of various unit types, including 2-Room Flexi (Type 1 and Type 2) and 3-Room apartments, across different floors and stack numbers. This visual representation helps understand the availability of specific unit configurations within each block.

19

Block 302A & 302B Stacking Plan

This image displays the stacking plan for Block 302A and Block 302B, illustrating the distribution of different unit types across various levels (01 to 14) and stack numbers (e.g., 101 to 123 for 302A, 125 to 135 for 302B). Block 302A features 2-room Flexi (Type 2), 4-room, and 5-room flats. Block 302B includes 3-room, 4-room, and 5-room flats. A 'Future Child Care Centre' is noted on the lower levels of some stacks in both blocks.

20

Block 302C & 302D Unit Stacking Chart

This page illustrates the unit stacking charts for HDB Blocks 302C and 302D. It details the distribution of various unit types, including 2-room Flexi (Type 1 & 2), 3-room, 4-room, and 5-room flats, across different floor levels and stack numbers. The charts also highlight accessible communal spaces like a roof garden and sky terrace, as well as ground-level amenities such as a Residents' Committee Centre and a shop.

21

Block 300A 2nd Storey Floor Plan

This image displays the 2nd storey floor plan for Block 300A, featuring various 2-Room Flexi units of Type 1 and Type 2. It illustrates the layout of units 100, 102, 104, 106, 108, and 110, including common areas like the lift lobby and corridors. Connections to other blocks and a refuse chute are also indicated, alongside a window legend and scale bar.

22

Block 300A (3rd-7th & 10th-14th Storey Floor Plan)

This image displays a floor plan for Block 300A, specifically for the 3rd to 7th and 10th to 14th storeys. It illustrates the layout of various residential units, including 2-room Flexi (Type 1 and Type 2) and 3-room apartments. Common areas such as the lift lobby, common corridor, wash area, and refuse chutes are also depicted. The plan includes a window legend and a scale bar, providing details about window types and dimensions.

23

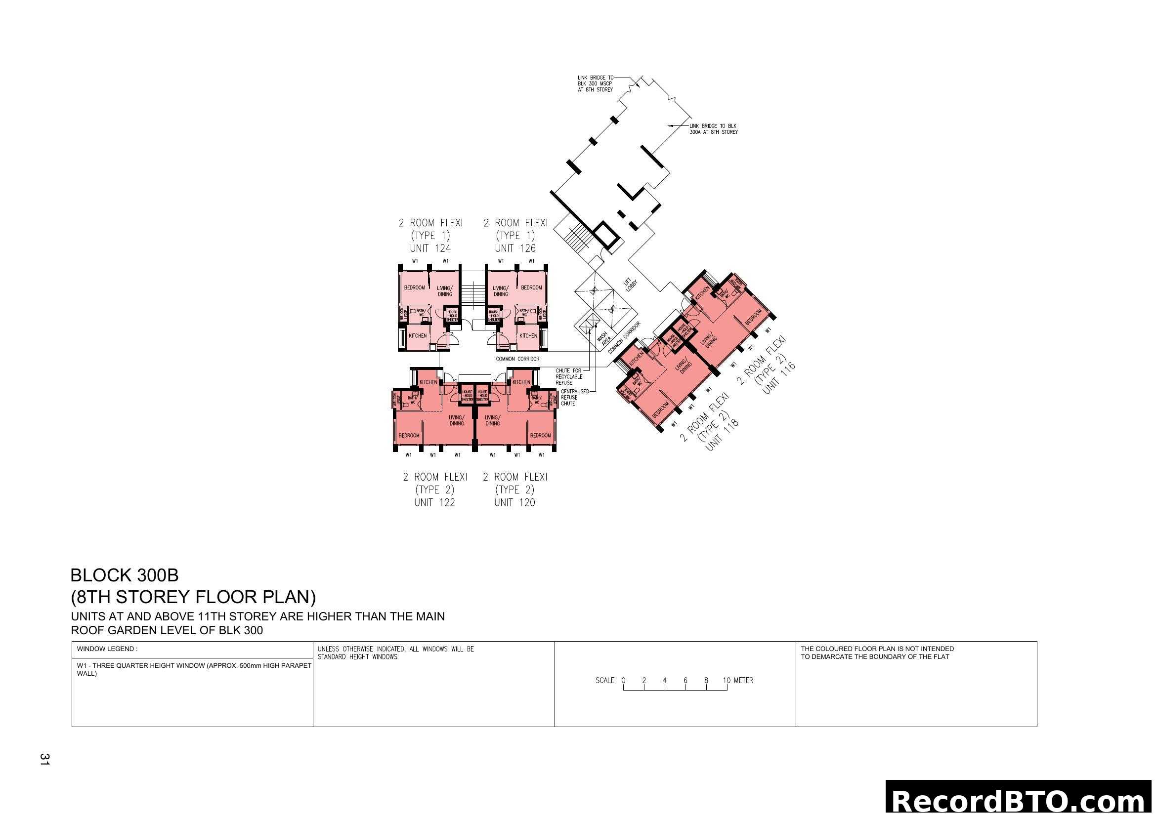
Block 300A 8th Storey Floor Plan

This HDB BTO floor plan illustrates the layout of Block 300A at the 8th storey. It showcases multiple 2-room Flexi units, including both Type 1 and Type 2 configurations, along with common areas like the lift lobby, common corridor, and wash area. The plan also details connections to adjacent blocks via link bridges and includes a scale bar and window legend.

24

Block 300A (9th Storey Floor Plan)

This image displays the 9th-storey floor plan for Block 300A, showcasing the layout of multiple residential units around a central lift lobby and common corridor. It includes 2-room Flexi (Type 1 and 2) and 3-room units, detailing their internal room configurations such as bedrooms, living/dining areas, kitchens, and bathrooms. A scale bar and window legend are also provided.

25

Block 300B 2nd Storey Floor Plan

This image displays the 2nd storey floor plan for Block 300B, detailing the layout of multiple 2-room Flexi units (Type 1 and Type 2). It shows the internal arrangement of rooms such as living/dining areas, bedrooms, kitchens, bathrooms, and household shelters, along with common corridors, lift lobby, and refuse chutes. Notes on roof areas, link bridges, and a window legend are also included.

26

Block 300B (3rd-7th & 10th-14th Storey Floor Plan)

This image displays a floor plan for Block 300B, detailing the layout of multiple units on specific storeys (3rd to 7th & 10th to 14th). It features various 2-room Flexi (Type 1 & 2) and 3-room unit layouts, interconnected by a common corridor, along with a lift lobby and refuse chute areas. A window legend and a scale bar are also provided.

27

Block 300B 8th Storey Floor Plan

This floor plan illustrates the 8th storey layout for Block 300B, featuring multiple 2-Room Flexi units (Type 1 and Type 2). It details the arrangement of living spaces, bedrooms, kitchens, and bathrooms within each unit, as well as common areas like the corridor, lift lobby, wash area, and refuse chutes. The plan also shows link bridges to adjacent blocks.

28

Block 300B, 9th Storey Floor Plan

This image displays the 9th storey floor plan for Block 300B, detailing the layout of various residential units including 2-room Flexi (Type 1 and 2) and 3-room units. It shows common corridors, lift lobby, wash area, and refuse chutes, along with internal room configurations for each unit.

29

Block 300C 2nd Storey Floor Plan

This floor plan illustrates the layout of Block 300C on the 2nd storey, featuring a common corridor, lift lobby, and various residential units. It includes both 4-room and 5-room unit types (e.g., Units 128, 130, 132, 134, 136, 138). The plan also indicates connections via link bridges to Block 300D and Block 300 MSCP, along with other architectural details and a window legend.

30

Block 300C Floor Plan (Selected Storeys)

This image displays the floor plan for Block 300C, specifically for the 3rd to 7th and 10th to 14th storeys. It illustrates the layout of various residential units, including 3-room, 4-room, and 5-room flats, arranged around a common corridor, lift lobby, and wash area. The plan details individual unit layouts, including bedrooms, living/dining areas, kitchens, and bathrooms, along with a window legend and scale bar.

31

Block 300C 8th Storey Floor Plan

This image displays the 8th storey floor plan for Block 300C, showcasing multiple residential units including 4-room and 5-room flats. It details the layout of individual units, common corridors, lift lobby, wash area, and an accessible sky terrace. The plan also indicates linkages to other blocks (300D and 300 MSCP) at the 8th storey level, and includes a scale bar and window legend.

32

Block 300C - 9th Storey Floor Plan

This image displays the 9th storey floor plan for Block 300C, showing the layout of multiple residential units including 3-room, 4-room, and 5-room configurations. It details the arrangement of living spaces, bedrooms, kitchens, and common areas like the lift lobby and corridor. A window legend and scale are also provided for reference.

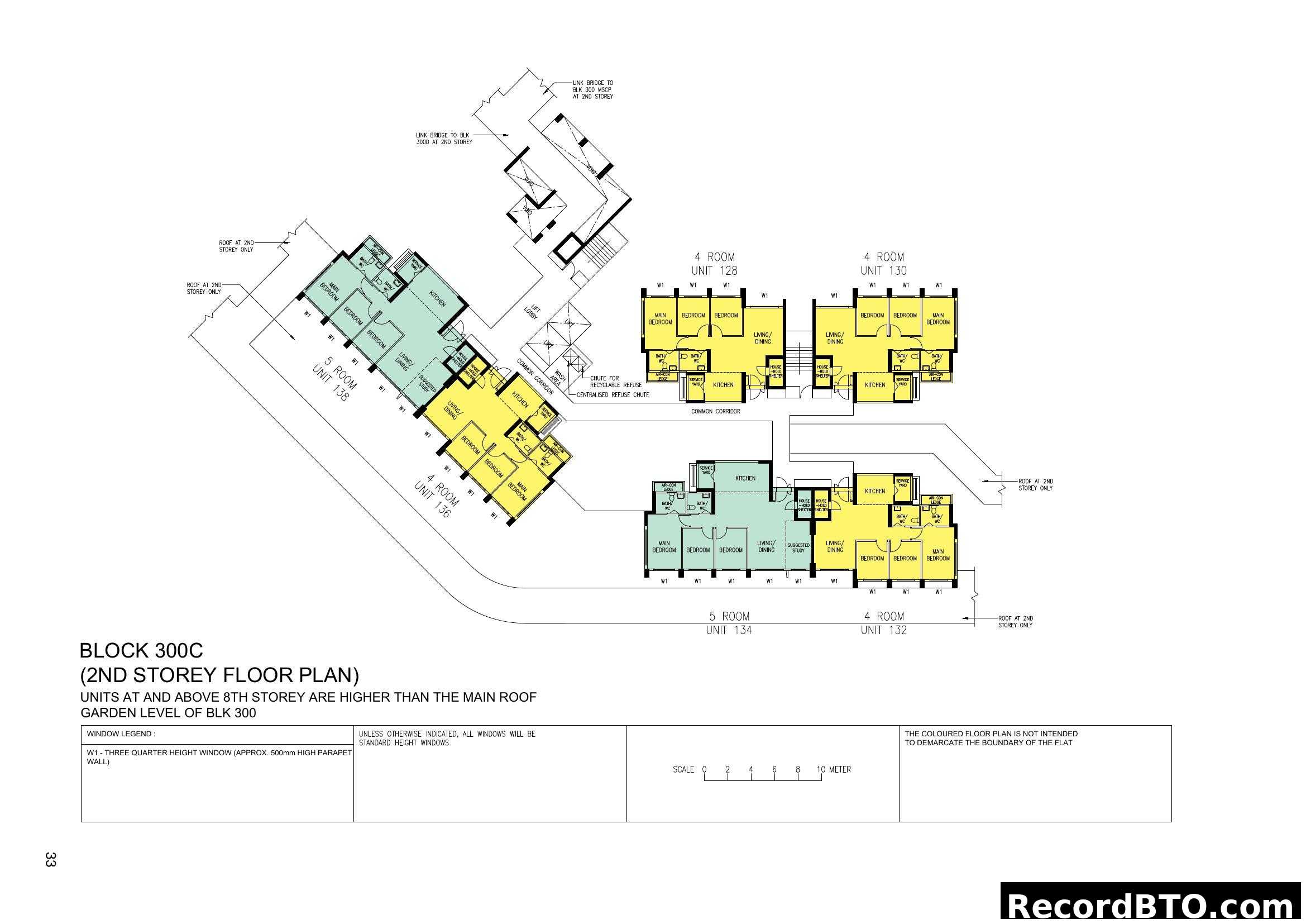
33

Block 300D - 2nd Storey Floor Plan

This image displays the 2nd storey floor plan for Block 300D, detailing the layout of multiple 2 Room Flexi units (Type 1 and Type 2). The units are arranged around a common corridor, lift lobby, and wash area, with indications for link bridges to other blocks (300 MSCP and 300C) and a roof area. A window legend specifies 'W1' as a three-quarter height window, and a scale bar is provided.

34

Block 300D Floor Plan (3rd to 7th Storey)

This image presents the floor plan for Block 300D, detailing the layout of residential units on the 3rd to 7th storeys. It showcases various unit types, including 2-Room Flexi (Type 1 and Type 2) and 3-Room units, clustered around a central lift lobby and common corridor. Each unit's internal layout, such as bedrooms, living/dining areas, kitchens, and bathrooms, is clearly depicted. The plan includes a scale bar and a window legend for reference.

35

Block 300D 8th Storey Floor Plan with 2-Room Flexi Units

This image displays the 8th storey floor plan for Block 300D, featuring 2-Room Flexi units of Type 1 and Type 2 (Units 148, 150, 152, 154). It includes details of the common corridor, lift lobby, wash area, and an accessible roof garden. The plan also indicates link bridges to adjacent blocks at the same storey level, and provides a window legend.

36

Block 300D (9th to 12th Storey Floor Plan)

This image displays the floor plan for Block 300D, covering the 9th to 12th storeys. It illustrates the layout of multiple residential units, including 2-room Flexi (Type 1 and Type 2) and 3-room units, along with common areas like corridors, lift lobby, and wash area. A scale bar and window legends are also provided.

37

Block 301A 2nd Storey Floor Plan

This floor plan illustrates the layout of Block 301A's second storey, featuring multiple 4-room and 5-room residential units (Units 166, 168, 164, 162). It details the common corridor, lift lobby, wash area, and centralized refuse chutes, along with link bridges to other blocks. The plan provides a clear overview of the residential and common spaces on this specific floor level.

38

Block 301A Floor Plan (3rd to 7th & 10th to 14th Storey)

This image displays a detailed floor plan for Block 301A, specifically for the 3rd to 7th and 10th to 14th storeys. It illustrates the layout of various 4-room and 5-room units (Units 156, 158, 160, 162, 164, 166, 168), including their bedrooms, living/dining areas, kitchens, bathrooms, and service yards. Common corridors, a lift lobby, wash area, and refuse chutes are also depicted. Notes regarding window types are included.

39

Block 301A 8th Storey Floor Plan

This is a floor plan showing the layout of Block 301A at the 8th storey. It details the arrangements of various 4-room and 5-room units (158, 160, 162, 164, 166, 168), including bedrooms, living/dining areas, kitchens, and bathrooms. The plan also illustrates common facilities such as the lift lobby, common corridor, wash area, refuse chutes, and indicates link bridges to other blocks.

40

Block 301A (9th Storey Floor Plan)

This image displays the 9th storey floor plan for Block 301A, showcasing the layout of multiple residential units including 4-room and 5-room flats. It details individual unit configurations like bedrooms, living/dining areas, kitchens, and bathrooms, along with common corridors, lift lobby, wash area, and refuse chutes. A window legend and scale bar are also provided.

41

Block 301B - 2nd Storey Floor Plan

This image presents the 2nd storey floor plan for Block 301B, showcasing the layout of various residential units including 4-room and 5-room flats. It details the internal structure of individual units with rooms like main bedroom, bedroom, living/dining, kitchen, and bathrooms, along with common areas such as the lift lobby, common corridor, and a centralised refuse chute. Link bridges to adjacent blocks are also indicated.

42

Block 301B Typical Floor Plan (3rd-7th & 10th-14th Storeys)

This image displays the typical floor plans for Block 301B, covering the 3rd to 7th and 10th to 14th storeys. It details the layouts of 4-room and 5-room units, including the arrangement around the common corridor, lift lobby, and service areas. The plan also notes specific window types and clarifies that units at and above the 8th storey are higher than the main roof garden level of Block 300.

43

Block 301B (8th Storey Floor Plan)

This image displays the 8th-storey floor plan for Block 301B, detailing the layout of six residential units: units 170, 172, 174, 176, 178, and 180. It shows the arrangement of 4-room and 5-room units, including bedrooms, living/dining areas, kitchens, bathrooms, and household shelters, along with common areas like the lift lobby and corridors. Link bridges to adjacent blocks are also indicated.

44

Block 301B - 9th Storey Floor Plan

This detailed floor plan illustrates the layout of the 9th storey for Block 301B, showcasing various 4-room and 5-room units. It displays the arrangement of units around a common corridor, including the lift lobby, wash area, and refuse chutes. Individual unit layouts feature bedrooms, main bedrooms, living/dining areas, kitchens, bathrooms, and service yards. The plan includes a window legend and a scale bar, providing comprehensive architectural details for this specific floor.

45

Block 301C - 2nd Storey Floor Plan

This document displays the 2nd storey floor plan for Block 301C, featuring multiple '2 ROOM FLEXI' units of Type 1 and Type 2, specifically units 194, 196, 192, 190, 188, and 186. It outlines the internal layout of these units, including bedrooms, living/dining areas, kitchens, bathrooms, and household shelters. The plan also shows common corridors, a lift lobby, wash area, and indicates link bridges to other blocks, along with a window legend.

46

Block 301C Floor Plan (3rd-7th & 10th-14th Storey)

This image displays the floor plan for Block 301C, covering the 3rd to 7th and 10th to 14th storeys. It illustrates the layout of 2-room Flexi (Type 1 & 2) and 3-room units, alongside common corridors, lift lobby, and refuse chutes. A window legend and scale are included, providing details on window types and measurements within the plan.

47

Block 301C - 8th Storey Floor Plan

This image displays the 8th storey floor plan for Block 301C, showing the layout of multiple 2 Room Flexi units (Type 1 and Type 2). It includes details of unit interiors, common corridors, lift lobby, wash area, refuse chute, and connecting link bridges to other blocks. The plan also contains a window legend and general notes regarding unit heights and floor plan demarcation.

48

Block 301C - 9th Storey Floor Plan

This image displays the 9th storey floor plan for Block 301C, showcasing the layout of residential units and common areas. It includes 2-room Flexi units (Type 1 and Type 2) and 3-room units, along with common corridors, lift lobby, wash area, and refuse chutes. A window legend, scale bar, and disclaimer are also provided.

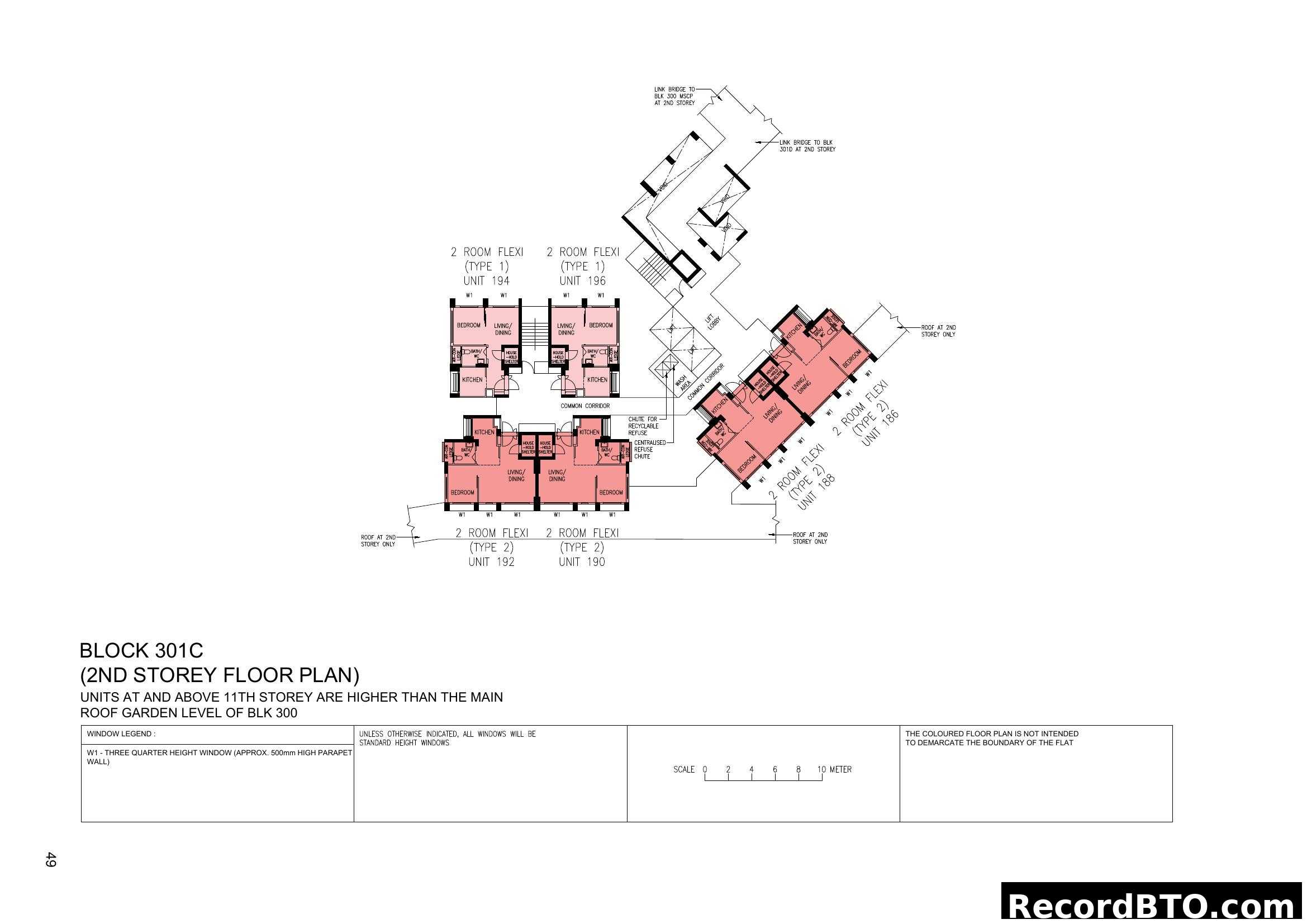
49

Block 301D: 2nd Storey Floor Plan (2-Room Flexi)

This image displays the 2nd storey floor plan for Block 301D, featuring multiple 2-Room Flexi (Type 2) units including 198, 200, 202, 204, 206, and 208. The layout shows common corridors, a lift lobby, a wash area with refuse chutes, and connecting bridges. It provides a legend for window types and notes regarding units above the 11th storey.

50

Block 301D Floor Plan (3rd-7th & 10th-14th Storeys)

This page displays the floor plan for Block 301D, specifically for storeys 3rd to 7th and 10th to 14th. It details the layout of residential units, including a 3-room unit (Unit 210) and several 2-room Flexi (Type 2) units (Units 198, 200, 202, 204, 206, 208). The plan also illustrates the common corridor, lift lobby, staircase, and utility areas like the wash area and refuse chutes. A window legend and scale bar are provided for reference.

51

Block 301D 8th Storey Floor Plan

This floor plan illustrates the layout of the 8th storey for Block 301D, featuring multiple 2-room Flexi (Type 2) units. It details the individual unit configurations including living/dining areas, bedrooms, kitchens, and bathrooms, along with common corridors, lift lobby, wash area, and refuse chutes. The plan also notes window types and provides general building information.

52

Block 301D 9th Storey Floor Plan

This image presents the 9th storey floor plan for Block 301D, detailing the layout of several residential units including 2-room Flexi (Type 2) and 3-room units. It illustrates the arrangement of rooms within each unit, common corridors, lift lobby, and centralized refuse facilities, complete with a scale and window legend.

53

Block 302A Floor Plan (2nd to 7th & 10th to 14th Storey)

This image displays a detailed floor plan for Block 302A, covering specific storey ranges. It showcases the layout of various unit types, including 5-room, 4-room, and 2-room Flexi apartments, along with common areas like the lift lobby and corridors. The plan also includes a window legend and a scale bar for measurement references.

54

Block 302A 8th Storey Floor Plan

This floor plan illustrates the layout of Block 302A on its 8th storey, detailing various residential units including 5-room, 4-room, and 2-room Flexi (Type 2) apartments. It highlights common areas like lift lobbies and corridors, alongside notes on window types and scale.

55

Block 302A (9th Storey Floor Plan)

This image displays the 9th storey floor plan for Block 302A, showcasing the arrangement of various unit types around a common corridor. It includes layouts for 5-room, 4-room, and 2-room Flexi units (Type 2), complete with details like bedrooms, living/dining areas, kitchens, bathrooms, and suggested study spaces. The plan also indicates the location of lift lobbies, wash areas, and refuse chutes, providing a comprehensive overview of the residential floor layout.

56

Block 302B Typical Floor Plan (2nd-14th Storey)

This image displays the typical floor plan for Block 302B, covering the 2nd to 7th and 10th to 14th storeys. It illustrates the layout of 3-room, 4-room, and 5-room units (125, 127, 129, 131, 133, 135) including common areas like the lift lobby and corridors, complete with a scale bar and window legend.

57

Block 302B (8th Storey Floor Plan)

This floor plan illustrates the layout of Block 302B at the 8th storey, featuring multiple residential units including 3-room, 4-room, and 5-room flats. It details the arrangement of units around a common corridor, lift lobby, and utility areas, along with connections to adjacent blocks via link bridges. The plan indicates windows and notes about units being higher than the main roof garden level.

58

Block 302B (9th Storey) Floor Plan with Unit Layouts

This floor plan illustrates the layout of units on the 9th storey of Block 302B. It features detailed floor plans for 3-room, 4-room, and 5-room units (125, 127, 129, 131, 133, 135), showing their internal room arrangements, common areas like the lift lobby and corridor, and service yards. The plan also includes a window legend and notes that units at and above the 8th storey are higher than the main roof garden level.

59

Block 302C (2nd-7th Storey) Floor Plan

This floor plan displays the layout for Block 302C, specifically for levels 2nd to 7th storey. It features 2-room Flexi (Type 1 & 2) and 3-room units, along with common areas like the lift lobby, common corridor, and refuse chutes. The plan also includes a window legend and a scale.

60

Block 302C (8th Storey Floor Plan)

This image displays the 8th storey floor plan for Block 302C, illustrating the layout of common facilities like the lift lobby, common corridor, and an accessible roof garden. It also details the internal arrangement of two '2 ROOM FLEXI (TYPE 1)' units, specifically Unit 137 and Unit 139. The plan includes notes on link bridges to adjacent blocks/roof gardens and a window legend, indicating this floor is higher than the main roof garden level of Blk 302.

61

Block 302C Floor Plan (9th-12th Storey)

This floor plan illustrates the layout of Block 302C from the 9th to 12th storey, featuring 3-room (Unit 145) and 2-room Flexi (Type 1) units (Units 137, 139). It includes common areas like the lift lobby and corridor, a window legend, a scale, and important disclaimers about the plan's purpose.

62

Block 302D Typical Floor Plan (2nd-7th & 10th-14th Storey)

This image displays the typical floor plan for Block 302D, covering the 2nd to 7th and 10th to 14th storeys. It illustrates the layout of multiple residential units including 3-room, 4-room, and 5-room flats, arranged around common corridors and a lift lobby. Key areas like bedrooms, living/dining, kitchen, and bathrooms are clearly marked within each unit. The plan also shows an adjacent Neighbourhood Centre. A scale bar and window legend are included.

63

Block 302D 8th Storey Floor Plan

This detailed floor plan shows the 8th storey layout of Block 302D, featuring multiple 4-room and 5-room residential units, including their internal room arrangements and amenities like kitchens, bathrooms, and air-con ledges. It also depicts common areas such as the common corridor, lift lobby, wash area, and an accessible sky terrace, along with link bridges connecting to the Neighbourhood Centre and Block 302C.

64

Block 302D (9th Storey Floor Plan)

This floor plan illustrates the layout of units on the 9th storey and above for Block 302D, which are noted to be higher than the main roof garden level. It showcases multiple unit types including 3-room, 4-room, and 5-room flats, along with common areas like corridors, lift lobby, wash area, and refuse chutes. A scale bar is provided for reference.

65

General Specifications - Parc Residences Tengah (2-room Flexi)

This brochure page details the general specifications for 2-room Flexi (short lease) units at Parc Residences @ Tengah. It covers aspects like foundation, structure, roof, walls, windows, and doors. Additionally, it lists interior finishes, fittings, and services provided, along with important notes regarding the household shelter, UPVC door frames, open spaces, and service details not shown on plans.

66

General Specifications Parc Residences @ Tengah

This page from an HDB BTO brochure details the general specifications for 2-room Flexi, 3-room, 4-room, and 5-room flats at Parc Residences @ Tengah. It covers construction aspects like foundation, structure, roof, walls, windows, doors, as well as finishes, fittings, and services provided. Important notes regarding household shelters and renovation rules are also included.

67

Disclaimer page from HDB BTO brochure

This page from an HDB BTO brochure contains detailed disclaimers regarding the information provided. It clarifies that the content is for general information only, not an offer or contract, and that visual representations are artistic impressions. It also states that project details, amenities, and facilities are subject to change without notice, and that the HDB reserves rights over the use of common property and facilities. Buyers are advised to consult relevant authorities for full guidelines.

68

HDB Copyright and Branding Page

This page features the Housing & Development Board (HDB) logo and official branding, set against a solid yellow-orange background. It prominently displays copyright information, stating 'Copyright © Housing & Development Board, All rights reserved. August 2020'. The page primarily serves as a branding or copyright disclaimer within a larger document, without providing specific details about housing units, layouts, or developments.

69

Optional Component Scheme for 2-Room Flexi Flats

This brochure page outlines the Optional Component Scheme (OCS) for 2-room Flexi flats at Parc Residences @ Tengah. It details the standard provisions included in all flats, such as basic floor and wall finishes, a sliding bedroom partition, and a water closet. The page then introduces two optional packages: Package 1 offers flooring for living/dining/bedroom areas and a 3-panel sliding partition (for 38sqm units), while Package 2 provides sanitary fittings like a washbasin and shower set. A note explains the alternative partition for those opting out of Package 1.

70

Optional Component Scheme: Package 3 for 2-Room Flexi Flats

This brochure page details 'Package 3' under the Optional Component Scheme for short-lease 2-room Flexi Flats at Parc Residences @ Tengah. It highlights elderly-friendly fittings such as built-in kitchen cabinets with an induction hob (including its benefits), an option for a lower counter top height with illustrative diagrams, mobile kitchen cabinets for wheelchair users, and a built-in bedroom wardrobe with a lower hanging rod. Additional fittings like window grilles, mirror, toilet roll holder, lighting, and water heater are also included. Buyers opting for Package 3 must also select Package 1.

Tip: Click on any page to jump directly to that brochure page

Photo Gallery

70 photos

Parc Residences @ Tengah HDB Sales Launch August 2020

Parc Residences @ Tengah HDB Sales Launch August 2020

Parc Residences @ Tengah: Artist Impression

Parc Residences @ Tengah: Artist Impression

Tengah Park District Green Living & Amenities Overview

Tengah Park District Green Living & Amenities Overview

A Green Haven

A Green Haven

Tengah Town Features: Green, Smart & Car-lite Centre

Tengah Town Features: Green, Smart & Car-lite Centre